Introducción a las integrales
Formalmente la integral de una función es la operación inversa a la
diferenciación. Se representa mediante el signo ∫.
Al ser una operación inversa a la diferenciación, si integramos el diferencial de una función obtenemos la función primitiva.

Dado que la diferenciación es una operación similar a la
derivación, en la práctica solemos decir que la integración es la operación inversa a la derivación.
Significados de una integral
Podemos asociar dos significados a una integral.
- Es una operación inversa a la diferenciación, por lo que podemos usarla para obtener la función primitiva correspondiente a una función derivada, es decir qué función se derivó para obtener la función que estamos integrando.
- Podemos utilizar la integral para calcular el área bajo una curva entre dos puntos. Esto se llama integral definida. Debemos tener en cuenta que el área bajo la curva no corresponde al de la función primitiva sino al de la función que estamos integrando.
Diferencial en una integral
Al plantear una integral escribimos su símbolo, seguido de la función a integrar multiplicada por un diferencial “dx”.
Este diferencial tiene varios significados:
- Debido a que una función puede tener varias variables independientes, el diferencial nos indica cuál es la variable que integramos. Por ejemplo “dx” indica que la integral es sobre la variable “x”.
- Debido a que la integral es la operación inversa al diferencial de una función (dy), la expresión que integremos deberá ser un diferencial (dy) es decir una multiplicación de una función por un diferencial “dx”.
- Debido a que la integral representa el área debajo de una función, el área podemos considerarla como una suma de superficies de rectángulos que tienen como altura el valor de la función f(x) y un ancho infinitesimal (dx). Por lo tanto la integral representa la sumatoria de áreas cuyo valor es f(x)∙dx.
Constante de integración
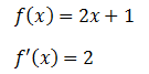
Si tenemos una función en la que uno de sus términos es una constante y derivamos esta función la constante desaparece. Por ejemplo en la siguiente función el número "1" no aparece en la derivada:

Como vemos, una constante que suma o resta en una función desaparece al calcular su derivada. Por lo tanto si ahora realizamos la operación inversa, es decir a partir de la derivada intentamos obtener la función primitiva, no podemos conocer cuál era el valor de la constante. Es por este motivo que al integrar el resultado lleva un término genérico sumando, representado normalmente por la letra “C”, que indica que esta constante puede estar presente en la función primitiva.
Tipos de integrales
Las integrales pueden ser definidas o indefinidas. Cuando integramos una función de manera indefinida obtenemos su primitiva, es decir otra función cuya derivada es la función que estamos integrando.
Cuando integramos una función de manera definida obtenemos un valor numérico correspondiente al área bajo la curva de la función que estamos integrando entre los puntos indicados.
Métodos para resolver integrales
Existen varios métodos para resolver integrales. En Física Práctica vamos a detallar tres de ellos:
- Integración inmediata
- Integración por sustitución
- Integración por partes
Seguir a integrales inmediatas
Volver a integrales
Volver a home