Diferencial de una función
Cuando definimos la
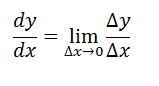
derivada de una función lo hicimos como un cociente entre dos incrementos muy pequeños. Uno de esos incrementos representaba una variación en la variable independiente y el otro una variación en la variable dependiente. Para que la variación de la variable independiente tienda a cero aplicamos un límite.
Al resultado del límite lo llamamos derivada y dijimos que se podía representar como la variación infinitesimal de dos variables. A estas variaciones muy pequeñas las llamamos diferenciales.

El diferencial “dx” es una variación muy pequeña en la variable “x”, el diferencial “dy” es una variación muy pequeña en la variable “y” y el cociente dy/dx es la derivada de la función.

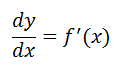
Entonces si pasamos al diferencial “dx” multiplicando al otro lado de la igualdad, nos queda que el diferencial “dy” es igual a la derivada de la función multiplicada por el diferencial “dx”.
Cómo calcular el diferencial de una función
Si queremos calcular el diferencial de una función (“dy”) simplemente calculamos su derivada y lo multiplicamos por una variable llamada diferencial “dx”.
Ejemplo
Calcular el diferencial de la siguiente función.
Seguir a introducción a las integrales
Volver a integrales
Volver a home