Integración inmediata o directa
Tal como definimos anteriormente, la
integración es una operación inversa a la
diferenciación y por lo tanto también a la
derivación. Entonces conociendo las reglas de derivación podemos escribir reglas de integración que hagan el camino inverso.
Por ejemplo, sabemos que la derivada de la variable independiente (normalmente “x”) elevada a una constante es igual a esa constante multiplicada por la variable elevada a la constante menos una unidad.
Por lo tanto, si queremos conocer la integral de la variable independiente elevada a un exponente sabemos que la función primitiva tendrá a la variable elevada a ese exponente más una unidad y que también estará dividida por esa nueva constante ya que al derivar se multiplica por el exponente.

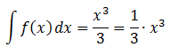
Si queremos calcular la integral de la función anterior lo que buscamos es una nueva función que al derivarla dé como resultado x
2.

Como podemos ver, si derivamos el resultado obtenemos la primera función.
Reglas y propiedades de integración inmediata
- Sean “u”, “v” y “w” funciones.
- Sean “a”, “c”, “n” constantes reales.
- Sea “x” la variable independiente.
Integral del diferencial “dx”
Si solo integramos el diferencial “dx”, el resultado es “x”. Recordemos que siempre debemos sumar la constante de integración.
Integral de una constante “a” multiplicando a una variable o función
Las constantes que multiplican a una variable o función las podemos sacar afuera de la integral.
Integral de la variable “x”
Integral de la variable “x” elevada a una constante
Integral de una suma o resta de funciones
Integral de una constante “a” elevada a “x”
Integral de la constante “e” elevada a “x”
Dado que la derivada de e
x es igual a e
x, lo mismo ocurre con la integral.
Integral del seno de “x”
Integral del coseno de “x”
Integral de la tangente “x”
Seguir a integración por sustitución
Volver a integrales
Volver a home