Integración por sustitución
El método de integración por sustitución o por cambio de variable consiste en reemplazar una parte de la expresión que queremos
integrar, por una nueva variable (usualmente llamada “u”) de tal manera que nos quede una integral más sencilla y que podamos resolver de forma
inmediata.
Al hacer este cambio también debemos reemplazar el
diferencial dado por otro diferencial que incluya a la nueva variable pero que a su vez sea equivalente al diferencial anterior. Este nuevo diferencial normalmente lo obtenemos calculando el diferencial de la parte de la integral reemplazada (“u”) y despejando el diferencial anterior.
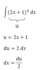
Ejemplo

Para resolver la integral anterior llamamos “u” a la expresión 2x+1, calculamos el diferencial de “u” y despejamos “dx” de este nuevo diferencial.

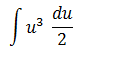
Planteamos la integral equivalente, reemplazando tanto la expresión como el diferencial.

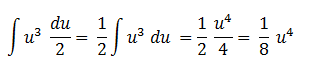
Resolvemos la integral equivalente.

Reemplazamos “u” por la expresión original y obtenemos el resultado.
Seguir a integración por partes
Volver a integrales
Volver a home