Integrales definidas
Una
integral puede estar definida ente dos valores “a” y “b”. En ese caso, al resolverla obtenemos el valor del área debajo de la curva entre “a” y “b”.
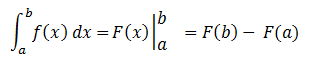
Existen varias formas de resolver una integral definida. En Física Práctica vamos a utilizar la “Regla de Barrow” por ser una de las más conocidas. Este método requiere resolver primero la integral de forma indefinida y luego aplicar la siguiente fórmula.

F(x): Primitiva de f(x), es decir la integral indefinida.
F(a): Primitiva evaluada en “a”.
F(b): Primitiva evaluada en “b”.
Con lo cual obtenemos el área bajo la curva de f(x). Recordemos que f(x) es la función que vamos a integrar y F(x) es la función ya integrada.

El área que obtenemos al calcular una integral definida es positiva cuando la curva está por arriba del eje “x” y negativa cuando está por debajo. Por este motivo, en el caso que la curva tenga una parte por arriba y otra parte por debajo es necesario separar la integral en tramos.

Para calcular el área en el ejemplo anterior podemos plantear la integral definida de la siguiente manera.
Seguir a ejercicios de integrales
Volver a integrales
Volver a home