Velocidad en movimiento rectilíneo uniforme
La velocidad es una
magnitud vectorial que mide con qué rapidez varía la posición de un móvil en el tiempo. En MRU es constante y su signo depende del sentido hacia dónde se mueva el móvil respecto a cómo definimos el
sistema de referencia.
En el siguiente diagrama los móviles 1 y 2 tienen velocidad positiva (se dirigen en sentido positivo, independientemente de su posición) mientras que la velocidad de 3 es de signo negativo.

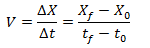
La velocidad la calculamos como la variación de la posición sobre la variación del tiempo. Para calcular el módulo de la velocidad podemos utilizar la siguiente expresión:

V = Velocidad [m/s]
ΔX = Variación de posición [m]
Δt = Variación de tiempo [s]
X
F = Posición final [m]
X
0 = Posición inicial [m]
t
F = Tiempo final [s]
t
0 = Tiempo inicial [s]
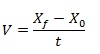
Como generalmente contamos el tiempo desde cero (es decir cuánto se tarda desde que empezamos a medir) muchas veces escribimos a la velocidad como:

V = Velocidad [m/s]
X
F = Posición final [m]
X
0 = Posición inicial [m]
t = Tiempo en realizar el recorrido [s]
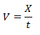
O bien si no utilizamos una referencia y sabemos cuánto espacio se recorrió y en que tiempo se hizo, calculamos la velocidad como:

V = Velocidad [m/s]
X = Distancia recorrida [m]
t = Tiempo en realizar el recorrido [s]
Velocidad y rapidez
El módulo de la velocidad se llama rapidez y se mide en unidades de espacio sobre unidades de tiempo, por ejemplo [m/s], [km/h]. La rapidez es una magnitud escalar (*).
Para la resolución de ejercicios de manera simple, es recomendable pasar todo a [m/s] y utilizar
notación exponencial si fuesen números muy grandes o muy chicos.
Ejemplos
1) Si un móvil se encuentra en la posición X = 30 metros en el momento en que empezamos a contar el tiempo y 10 segundos después se encuentra en la posición X = 60 metros, entonces sabemos que su velocidad es de 3 [m/s] y su gráfico es:

2) Si un móvil se encuentra en la posición X = 30 metros en el instante 0 y 5 segundos después se encuentra en la posición X = 10 metros (es decir se acercó al origen) su velocidad es de -4 [m/s] (*) y su gráfico es:

(*) La rapidez es siempre positiva dado que un móvil avanza una cierta distancia por cada unidad de tiempo. En cambio la velocidad tiene un carácter vectorial por lo que si el móvil se desplaza hacia el lado negativo de nuestro
sistema de referencia decimos que tiene velocidad negativa.
Debido a que estos gráficos son de la velocidad, no tomamos en cuenta la posición del móvil. El gráfico de la velocidad es independiente del lugar en dónde se encuentre. No importa si está del lado positivo o negativo, si sale o no desde origen, etc. Lo que sí nos importa es hacia dónde se mueve debido a que determina el signo de la velocidad.
Seguir a aceleración
Volver a MRU
Volver a home