Aceleración en movimiento rectilíneo uniforme
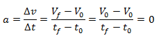
La aceleración mide la variación de la
velocidad respecto del tiempo. En MRU es cero ya que la velocidad es constante, es decir que la velocidad inicial es igual a la velocidad final (no hay aceleración).

a = Aceleración [m/s
2]
Δv = Variación de velocidad [m/s]
Δt = Variación de tiempo [s]
V
f = Velocidad final [m/s]
V
0 = Velocidad inicial [m/s]
t
f = Tiempo final [s]
t
0 = Tiempo inicial [s]
Gráfico de la aceleración
Gráfico de la aceleración respecto del tiempo en movimiento rectilíneo uniforme:
Seguir a posición respecto del tiempo
Volver a MRU
Volver a home