Inductores e inductancia
Inductores
Un inductor es un arrollamiento de un material
conductor sobre un núcleo de aire o preferentemente, de un material ferromagnético. Al igual que un
capacitor, un inductor también almacena energía, pero mientras que el capacitor lo hace en un
campo eléctrico, el inductor lo hace en un campo magnético.

Cuando circula una
corriente eléctrica por un inductor, éste genera un
campo magnético y un
flujo magnético, tal como ocurre cuando circula una corriente por un conductor, pero de mayor valor.
Si se hace circular una
corriente alterna a través del inductor, el campo magnético varía según la frecuencia y por lo tanto el flujo es variable en todo momento. Si en cambio se hace circular una corriente continua el flujo es únicamente variable cuando se crea el campo (al conectar la alimentación) y cuando el campo se autoinduce (al desconectar la alimentación).
Una característica de los inductores es que se oponen a los cambios en la corriente que circula a través de los mismos, generando una tensión (FEM) de sentido contrario a su polaridad y que intenta contrarrestar ese cambio.
Si se conecta un inductor a una corriente continua, este presentará inicialmente una resistencia hasta que el campo magnético se cree y luego no presentará prácticamente oposición al paso de corriente. Si se disminuye la tensión (y por lo tanto la corriente) el inductor presentará una tensión autoinducida para intentar mantener la corriente.
Inductancia
La medida en la que un inductor se opone al cambio en la intensidad de la corriente que circula por él se denomina inductancia.
En el Sistema Internacional la unidad de inductancia es el henry o henrio. Un henry corresponde a la inductancia de un inductor que presenta una tensión de 1 volt en oposición a la variación de la corriente, cuando esa variación de corriente es de 1 ampere por segundo.
Inductancia según la variación de tensión ante la variación de corriente
El valor de la inductancia se puede conocer dividiendo la tensión autoinducida por la variación de corriente en el tiempo.
Inductancia según las características del inductor
Al igual que la capacitancia, la inductancia también depende de las características físicas del inductor (es decir de la geometría y de los materiales con los que está hecho) y no de la corriente que circula por él.
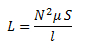
A mayor cantidad de espiras enrolladas la inductancia es mayor. Si además se agrega un núcleo ferro-magnético, la inductancia también aumenta. El valor de la inductancia está dado por la expresión:

L = Valor de la inductancia [H]
N = Número de espiras de la bobina [sin unidad]
µ = Permeabilidad del núcleo [Wb/A·m]
S = Sección del núcleo [m
2]
l = Longitud de líneas de flujo [m]
Acoplamiento de inductores
Volver a magnetismo y electromagnetismo
Volver a home