Corriente eléctrica
Cuando existen dos puntos con diferente
potencial eléctrico (o dos elementos con diferente
carga) y los mismos son unidos por un
conductor se produce un movimiento de cargas llamado corriente eléctrica que tiende a equilibrar las cargas entre un lado y otro. El sistema siempre tenderá a un equilibrio de cargas.
Unidad de medida de la corriente
La corriente eléctrica (o intensidad) se mide de la misma forma que se mediría la cantidad de un líquido que pasa a través de un caño, es decir en una determinada cantidad del mismo sobre la unidad de tiempo (cuanto pasa por unidad de tiempo).
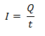
Debido a que medirlo en electrones por segundo daría un número elevado, se lo mide en cantidad de carga por segundo, es decir coulomb / segundo. Esta unidad se denomina amperio o ampere.

I = Intensidad de corriente [A]
Q = Carga [C]
t = Tiempo [s]
Seguir a sentido de la corriente
Volver a corriente y resistencia
Volver a home