Función lineal y ecuación de la recta
Una función lineal es aquella que puede ser expresada mediante la forma:

La expresión anterior se denomina ecuación de la recta debido a que su gráfica tiene esa forma. Las letras “m” y “b” son constantes, mientras que “x” es la variable independiente e “y” es la variable dependiente.
Ejemplos de funciones lineales son:
Partes de una función lineal
Pendiente
La constante “m” que multiplica a la variable independiente se llama pendiente e indica la inclinación de la recta respecto al eje horizontal. En caso de ser positiva la función es creciente mientras que si es negativa la función es decreciente.

Si la pendiente es cero, entonces se anula el término de la variable independiente y por lo tanto tendríamos una función constante. Gráficamente se trata una recta sin inclinación.

La pendiente se calcula como la diferencia en la variable “y” ante una determinada diferencia de la variable “x”, es decir como un cociente entre ambas diferencias. Es un valor muy importante para el análisis de funciones.
Ordenada al origen
La constante “b” se llama ordenada al origen. Si observamos la ecuación y = mx + b podemos ver que el valor de la variable “y” es igual a la ordenada al origen cuando “x” vale cero ya que se anula el primer término de la ecuación. Por lo tanto el número de la ordenada al origen es el valor en el que la recta corta al eje “y”. Si la ordenada al origen es igual a cero, entonces la recta corta al eje y cuando “x” vale cero, es decir que la recta pasa por el origen.
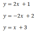
Las siguientes rectas tienen todas las mismas pendientes pero distinto valor de ordenada al origen.
Función lineal y función afín
En algunas aplicaciones o ámbitos suele llamarse función lineal únicamente a aquellas funciones en las que la ordenada al origen es cero, como por ejemplo las siguientes funciones.

Por otro lado se suele llamar función afín a las ecuaciones en dónde la ordenada al origen es distinta de cero, como por ejemplo las siguientes funciones.

En Física Práctica vamos a llamar función lineal a todas las funciones que se representen por una recta.
Seguir a cómo graficar una recta
Volver a función lineal
Volver a home