Cómo graficar una recta
Existen básicamente dos métodos para graficar una recta o
función lineal. Estos métodos son:
- Con tabla de valores
- De forma directa
Con tabla de valores
Sabemos que en una recta alcanza con determinar dos puntos que pertenezcan a la misma para graficarla. Por lo tanto elegimos dos valores de “x” y calculamos los dos valores de “y” correspondientes reemplazando cada valor de “x” en la expresión.
Ejemplo
Graficar la siguiente función utilizando una tabla de valores:

Elegimos dos valores de “x”, por ejemplo 1 y 2. Los reemplazamos en la expresión y obtenemos los valores de y correspondientes.

Por lo tanto tenemos los pares ordenados (1, 3) y (2, 5), que son puntos que pertenecen a la función, es decir puntos que pertenecen a la recta. Entonces ubicamos esos puntos en el diagrama de ejes cartesianos y los unimos con una línea recta.
De forma directa
Para graficar una función lineal de forma directa seguimos los siguientes pasos:
- Escribimos la función con la forma "y = mx + b" en dónde “m” sea una fracción (en el caso de que “m” sea un número entero también lo escribimos con una fracción con denominador 1. Si “m” tiene signo negativo ubicamos este signo en el numerador, es decir en la parte de arriba de la fracción.
- Dibujamos los ejes y ubicamos la ordenada al origen sobre el eje “y”. Con esto ya tenemos un primer punto por donde pasa la recta.
- Desde la ordenada al origen contamos tantas unidades hacia la derecha como nos indique el denominador de la fracción y luego tantas unidades hacia arriba (si la pendiente es positiva) o hacia abajo (si la pendiente es negativa) como nos indique el numerador. En ese lugar marcamos el segundo punto.
- Por último unimos los dos puntos con una recta.
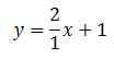
Ejemplo
Graficar la siguiente función de forma directa (sin utilizar una tabla de valores).
Solución
- En primer lugar escribimos la función con una pendiente fraccionaria.

- Marcamos la ordenada al origen en y=1 con lo que tenemos el primer punto.
- Contamos una unidad hacia la derecha desde la ordenada al origen y dos unidades hacia arriba (ya que la pendiente es positiva).
Seguir a rectas paralelas y perpendiculares
Volver a función lineal
Volver a home