Ejercicios de potencia en corriente continua
Una resistencia genera calor con una potencia de 250 W. Por la resistencia circulan 10 A de corriente continua.
¿De qué valor es la resistencia?
¿Qué energía se disipa en 10 segundos?
Solución
Despejando la tensión de la formula de potencia, obtenemos que la diferencia de potencial entre los bornes de la resistencia es:

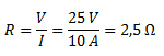
Sabiendo que hay entre ambos bornes de la resistencia una diferencia de potencial de 25 V y una intensidad de 10 A, podemos calcular la resistencia mediante la ley de Ohm.

La energía disipada la calculamos multiplicando a la potencia por el tiempo.
Seguir a ejercicios del teorema de Thévenin
Volver a ejercicios de corriente continua
Volver a home