Ejercicios del teorema de Thévenin
Entre dos puntos de un circuito conformado por fuentes y resistencias medimos una tensión de 20 V, con un voltímetro ideal. Al conectar una resistencia de 8 Ω encontramos que disipa una potencia de 2 W.
- ¿Cuánto disiparía una resistencia de 5 Ω?
- ¿Cuánta energía le sería transferida en 1 minuto?
Solución
Cualquier circuito formado por fuentes y resistencias puede ser reemplazado por su equivalente de Thévenin. Para eso debemos calcular V
TH y R
TH.
Al medir entre los dos puntos con un voltímetro ideal no hay circulación de corriente, por lo tanto toda la caída de tensión de la fuente de Thévenin se encuentra en el voltímetro y debido a eso el valor en el voltímetro es V
TH ya que no cae tensión en R
TH.

También sabemos que al conectar la resistencia R
L se disipa a través de la misma una potencia de 2 W. Entonces podemos calcular la corriente que circula por R
L que la llamamos (I
RL).

Si por R
L circula 1 A sabemos que en R
L caen 8 V. Además sabemos que la caída en R
L más la caída en R
TH tiene que ser igual a V
TH por la segunda ley de Kirchhoff.

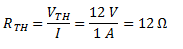
Sabiendo que en la resistencia de Thévenin caen 12 V y que la corriente por el circuito (que es la misma para ambas resistencias) es de 1 A, podemos calcular la resistencia de Thévenin por medio de la ley de Ohm.

Ubicando la nueva resistencia en lugar de la anterior, la resistencia total del circuito es

La nueva intensidad es

La potencia disipada por la nueva resistencia es

En 60 segundos, la energía disipada por la nueva resistencia es
Seguir a ejercicios de circuitos en corriente continua
Volver a ejercicios de corriente continua
Volver a home