Ejercicios de posición en MRUV
Ejercicio 1
Un móvil con una velocidad inicial de 10 km/h comienza a acelerar en t=0 a razón de 6 m/s
2.
¿Qué distancia recorre durante los 20 segundos siguientes a partir del instante en que comienza a acelerar?
Solución
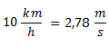
Convertimos 10 km/h a m/s.

Definimos X
0 (posición inicial) = 0 m, debido a que queremos conocer la distancia a partir de ese punto. Planteamos la ecuación horaria y resolvemos.
Ejercicio 2
Un tren viaja a una velocidad constante de 70 km/h y pasa una señal en rojo. A 60 metros de pasar la señal comienza a reducir su velocidad a razón de 2 m/s
2.
¿A qué distancia de la señal se detiene por completo?
¿Cuánto tarda en hacerlo a partir del momento en el que pasa la señal?
Solución
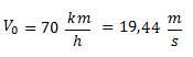
Pasamos la velocidad inicial a m/s

Ubicamos el sistema de referencia con el 0 en la señal, debido a que queremos conocer la posición respecto de ese punto.
El t=0 lo fijamos en el momento en que el tren comienza a disminuir la velocidad, debido a que es a partir de ese momento cuando el movimiento comienza a ser variado (MRUV).
La posición inicial (del MRUV) es de 60 m, ya que es la distancia desde la señal en t=0.

El signo de la aceleración es negativo, ya que apunta hacia el 0, en contra del sistema de referencia (el tren está disminuyendo la velocidad).

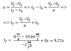
El tiempo que tarda en detenerse (a partir de que comienza a disminuir la velocidad) lo calculamos a partir de la fórmula de la aceleración.

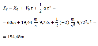
Ahora podemos plantear la ecuación horaria y responder la primera pregunta.

El tiempo que tarda en detenerse a partir del momento en que pasa la señal es el tiempo correspondiente a los primeros 60 metros (en los que viaja con MRU) sumado al tiempo que tarda en detenerse desde que comienza a disminuir la velocidad. Este último tiempo ya lo tenemos calculado, por lo que solo resta calcular el primero. Para eso lo despejamos de la ecuación de velocidad en MRU.

Por lo tanto el tiempo que tarda en detenerse (a partir de pasar la señal) es:
Seguir a ejercicios de encuentro en MRUV
Volver a ejercicios de MRUV
Volver a home