Ejercicios de encuentro en MRUV
Dos vehículos separados por 10 km parten al encuentro en el instante t=0. El primero lo hace con una velocidad inicial constante de 10 km/h. El segundo parte desde el reposo y con una aceleración de 0,5 m/s
2.
¿A qué distancia de la salida del primer vehículo se encuentran?
Solución
Lo primero que hacemos es plantear un sistema de referencia. Ubicamos el 0 en la posición del primer vehículo. Indicamos también la velocidad del primer móvil en m/s.

Luego planteamos las ecuaciones horarias de cada móvil.
Ecuación del móvil A:

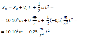
Planteamos la ecuación del móvil B. Este móvil no tiene velocidad inicial (ya que parte desde el reposo) y por lo tanto simplificamos ese término.

Igualamos ambas ecuaciones y despejamos el tiempo:

Se encuentran a los 194,52 segundos de la partida, es decir a los 3 minutos y 15 segundos.
Para conocer la posición, reemplazamos este tiempo en cualquiera de las ecuaciones horarias (ya que el sistema de referencia es el mismo y obtenemos la posición desde el punto de salida del primer móvil).
Seguir a ejercicios de tiro vertical y caída libre
Volver a ejercicios de MRUV
Volver a home