Ejercicios de tiro vertical y caída libre
Ejercicio 1
Se lanza verticalmente y hacia arriba un cuerpo con una velocidad inicial de 20 m/s.
¿Cuál es la altura máxima que alcanza?
¿En qué tiempo alcanza esa altura?
Solución
Lo primero que hacemos es plantear un sistema de referencia. Elegimos plantearlo en el mismo sentido que la velocidad inicial, por lo tanto la gravedad (que apunta en sentido contrario al sistema de referencia) tiene signo negativo.

Planteamos la relación entre velocidad final, inicial, distancia y aceleración en MRUV y despejamos la distancia.

Sabemos que la altura máxima se alcanza cuando la velocidad final es 0. Reemplazamos los valores y obtenemos la distancia.

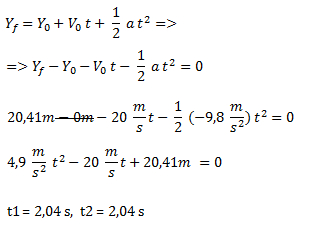
Para obtener el tiempo que tarda en alcanzar la altura máxima, lo despejamos de la ecuación horaria de MRUV.

La altura máxima la alcanza en 2,04 s.
Seguir a MCU
Volver a ejercicios de MRUV
Volver a home