Ejercicios de leyes de Kirchhoff
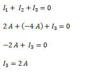
Ejercicio 1
Calcular la corriente por la rama 3, sabiendo que I
1 = 4 A e I
2 = 3 A.
Solución
Planteamos la ley de Nodos.

La corriente es saliente del nodo.
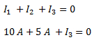
Ejercicio 2
Calcular la corriente por la rama 3, sabiendo que I
1 = 2 A e I
2 = 4 A.
Solución
Planteamos la ley de Nodos.

La corriente es entrante al nodo.
Ejercicio 3
Hallar la corriente I
3.
Solución
Planteamos un sistema de referencia relativo al nodo y tomamos las corrientes entrantes como positivas y las salientes como negativas.
I
1 = entrante, entonces es positiva
I
2 = saliente, entonces es negativa
Si bien I
2 es positiva en base a su flecha (su propio sistema de referencia) es negativa con respecto al nodo ya que es una corriente saliente.
Sabemos que la suma algebraica de corrientes en el nodo es igual a 0, entonces escribimos la ecuación.

Reemplazamos los valores conocidos:

Despejamos I
3:

Con respecto al nodo la corriente I
3 es de 5 A y es negativa ya que es saliente. Sin embargo, para el sistema de referencia de I
3 (su flecha), la corriente es positiva 5 [A].
Ejercicio 4
Hallar la corriente I
3.
Solución
Identificamos el sentido de las corrientes con respecto al nodo. En el caso de I
2 la corriente tiene un signo negativo, por lo que el sentido es contrario al de su flecha, es decir entrante al nodo y por lo tanto, con respecto al nodo tiene signo positivo.
I
1 = entrante, entonces es positiva
I
2 = entrante, entonces es positiva
Planteamos la ley de nodos y reemplazamos por los valores del ejercicio:

Despejamos la corriente I
3:

La corriente es de -15 [A] con respecto al nodo y de 15[A] con respecto a la flecha de I
3.
Ejercicio 5
Obtener la tensión aplicada a la rama AB a partir de las caídas de tensión indicadas.
Solución
Planteamos la ley de mallas y reemplazamos por los valores del ejercicio.
Ejercicio 6
Obtener las caídas de tensión en los resistores R
2 y R
3.
Datos V
R1 = 3 V, V
AB = 10 V
Solución
Por estar R
1 y R
2 en paralelo, la tensión es la misma para cada una de las dos resistencias.

Reemplazamos R
1 y R
2 por una resistencia equivalente, cuya caída de tensión es igual a la de las resistencias individuales.

Planteamos la ley de mallas y despejamos V
R3.
Seguir a ejercicios de potencia en corriente continua
Volver a ejercicios de corriente continua
Volver a home