Ejercicios de integrales por sustitución
Ejercicio 1
Resolver la siguiente integral por el método de sustitución (o cambio de variable).
Solución
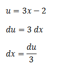
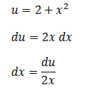
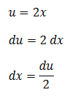
Elegimos “u”, calculamos su diferencial y despejamos “dx”.

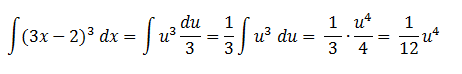
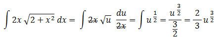
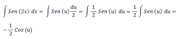
Calculamos la integral con cambio de variable.

Reemplazamos “u” por la expresión original y agregamos la constante de integración.
Ejercicio 2
Resolver la siguiente integral por el método de sustitución (o cambio de variable).
Solución
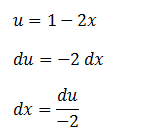
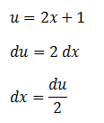
Elegimos “u”, calculamos su diferencial y despejamos “dx”.

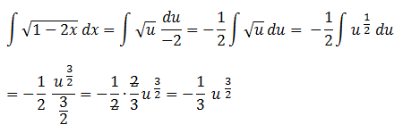
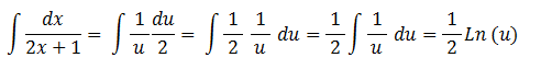
Calculamos la integral con cambio de variable.

Reemplazamos “u” por la expresión original y agregamos la constante de integración.
Ejercicio 3
Resolver la siguiente integral por el método de sustitución (o cambio de variable).
Solución
Elegimos “u”, calculamos su diferencial y despejamos “dx”.

Calculamos la integral con cambio de variable.

Reemplazamos “u” por la expresión original y agregamos la constante de integración.
Ejercicio 4
Resolver la siguiente integral por el método de sustitución (o cambio de variable).
Solución
Elegimos “u”, calculamos su diferencial y despejamos “dx”.

Calculamos la integral con cambio de variable.

Reemplazamos “u” por la expresión original y agregamos la constante de integración.
Ejercicio 5
Resolver la siguiente integral por el método de sustitución (o cambio de variable).
Solución
Elegimos “u”, calculamos su diferencial y despejamos “dx”.

Calculamos la integral con cambio de variable.

Reemplazamos “u” por la expresión original y agregamos la constante de integración.
Seguir a ejercicios de integración por partes
Volver a ejercicios de integrales
Volver a home