Ejercicios resueltos de integración por partes
Ejercicio 1
Resolver la siguiente integral utilizando el método de integración por partes.
Solución
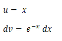
Elegimos “u” y “dv”.

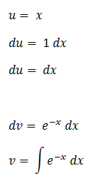
Calculamos “du” y “v”. Para calcular “du” derivamos “u” mientras que para calcular “v” integramos “dv”.

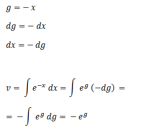
Para resolver esta nueva integral aplicamos el método de sustitución, llamando “g” a “-x”. Utilizamos la letra “g” para no confundirnos con la letra “u” de la integral que estamos calculando por partes.

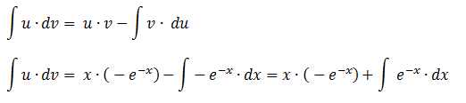
Reemplazamos “u” por la expresión original.

Ahora tenemos todos los términos para reemplazar en la fórmula de integral por partes.

Nuevamente tenemos que calcular una integral, pero en este caso ya la teníamos calculada al calcular “v”.
Ejercicio 2
Resolver la siguiente integral utilizando el método de integración por partes.
Solución
Elegimos “u” y “dv”.

Calculamos “du” y “v”. Para calcular “du” derivamos “u” mientras que para calcular “v” integramos “dv”.

Planteamos la fórmula de integración por partes. Llamamos “1” a esta ecuación.

Volvemos a aplicar integración por partes.

Aplicamos la fórmula de integración por partes para resolver la integral anterior.

Reemplazamos la integral calculada en la ecuación 1 y agregamos la constante de integración.
Ejercicio 3
Resolver la siguiente integral utilizando el método de integración por partes.
Solución
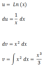
Elegimos “u” y “dv”.

Calculamos “du” y “v”. Para calcular “du” derivamos “u” mientras que para calcular “v” integramos “dv”.

Planteamos la fórmula de integración por partes. Calculamos la integral, simplificamos y sumamos la constante de integración.
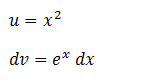
Ejercicio 4
Resolver la siguiente integral utilizando el método de integración por partes.
Solución
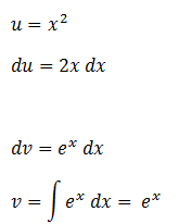
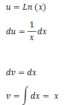
Elegimos “u” y “dv”.

Calculamos “du” y “v”. Para calcular “du” derivamos “u” mientras que para calcular “v” integramos “dv”.

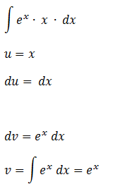
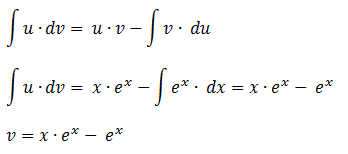
Planteamos la fórmula de integración por partes. Calculamos la integral, simplificamos y sumamos la constante de integración.
Ejercicio 5
Resolver la siguiente integral utilizando el método de integración por partes.
Solución
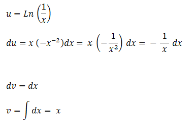
Elegimos “u” y “dv”.

Calculamos “du” y “v”. Para calcular “du” derivamos “u” mientras que para calcular “v” integramos “dv”.

Planteamos la fórmula de integración por partes. Calculamos la integral, simplificamos y sumamos la constante de integración.
Ejercicio 6
Resolver la siguiente integral utilizando el método de integración por partes.
Solución
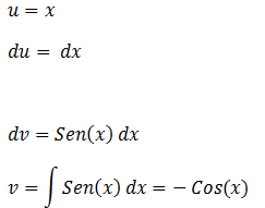
Elegimos “u” y “dv”.

Calculamos “du” y “v”. Para calcular “du” derivamos “u” mientras que para calcular “v” integramos “dv”.

Planteamos la fórmula de integración por partes. Calculamos la integral, simplificamos y sumamos la constante de integración.
Seguir a ejercicios de integrales definidas
Volver a ejercicios de integrales
Volver a home