Ejercicios resueltos de derivadas por definición
Ejercicio 1
Obtener la derivada de la siguiente función por definición.
Solución
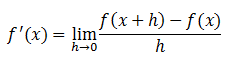
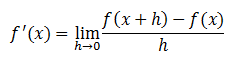
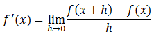
Escribimos la fórmula de derivada por definición.

Calculamos f(x+h) reemplazando “x+h” en la “x” de la función original.

Reemplazamos f(x+h) y f(x) en la fórmula de derivada por definición. Simplificamos y resolvemos el límite.
Ejercicio 2
Obtener la derivada de la siguiente función por definición.
Solución
Escribimos la fórmula de derivada por definición.

Calculamos f(x+h) reemplazando “x+h” en la “x” de la función original.

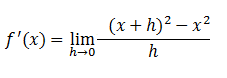
Reemplazamos f(x+h) y f(x) en la fórmula de derivada por definición.

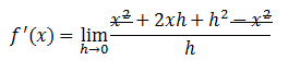
Resolvemos el cuadrado y simplificamos.

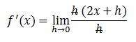
Sacamos factor común “h” y simplificamos.

Resolvemos el límite.
Ejercicio 3
Obtener por definición la derivada de la siguiente función.
Solución
Escribimos la fórmula de derivada por definición.

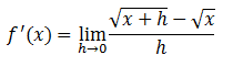
Calculamos f(x+h) reemplazando “x+h” en la “x” de la función original.

Reemplazamos f(x+h) y f(x) en la fórmula de derivada por definición.

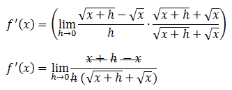
Para resolver el límite anterior multiplicamos y dividimos por el conjugado. Luego multiplicamos los numeradores y simplificamos.

Resolvemos el límite y simplificamos.
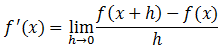
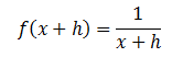
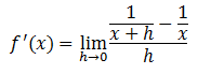
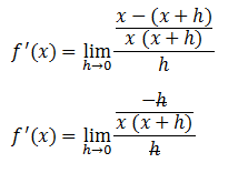
Ejercicio 4
Obtener por definición la derivada de la siguiente función.
Solución
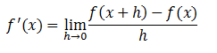
Escribimos la fórmula de derivada por definición.

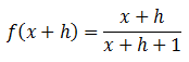
Calculamos f(x+h) reemplazando “x+h” en la “x” de la función original.

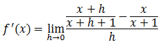
Reemplazamos f(x+h) y f(x) en la fórmula de derivada por definición.

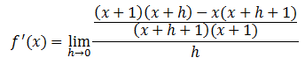
Realizamos la resta de fracciones.

Resolvemos el límite.
Ejercicio 5
Obtener por definición la derivada de la siguiente función.
Solución
Escribimos la fórmula de derivada por definición.

Calculamos f(x+h) reemplazando “x+h” en la “x” de la función original.

Reemplazamos f(x+h) y f(x) en la fórmula de derivada por definición.

Realizamos la resta de fracciones.

Aplicamos la propiedad distributiva en los dos términos del numerador y simplificamos.

Resolvemos el límite.
Seguir a ejercicios de derivadas por reglas
Volver a ejercicios de derivadas
Volver a home