Ejercicios resueltos de derivadas utilizando reglas de derivación
Ejercicio 1
Calcular la siguiente derivada utilizando reglas de derivación.
Solución
Aplicamos la regla de una constante “k” multiplicada por la variable “x”. Por lo tanto la derivada de la función es igual a la constante.
Ejercicio 2
Calcular la siguiente derivada utilizando reglas de derivación.
Solución
Aplicamos la regla que nos dice que la derivada de una suma de dos funciones, a las que llamamos “u” y “v”, es igual a la suma de las derivadas.

Para calcular la derivada del primer término utilizamos la regla que dice que una constante “k” multiplicada por la variable independiente es igual a la constante “k”.

Para calcular la derivada del segundo término planteamos la regla que dice que la derivada de una constante, a la que llamamos “k”, es igual a cero.

Sumamos las dos derivadas y obtenemos el resultado.
Ejercicio 3
Calcular la siguiente derivada utilizando reglas de derivación.
Solución
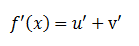
Tenemos que derivar una suma de funciones, a las que llamamos “u” y “v”, por lo que aplicamos la regla que nos dice que la derivada de una suma es igual a la suma de sus derivadas.

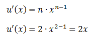
Ahora debemos calcular la derivada de ambas funciones. Para calcular u’ aplicamos la regla de “x” elevada a una constante “n”.

Para calcular v’ aplicamos la regla de una constante “k” multiplicada por “x” lo que nos da como resultado a la constante.

Luego planteamos la suma de las derivadas y obtenemos el resultado.
Ejercicio 4
Calcular la siguiente derivada utilizando reglas de derivación.
Solución
Planteamos la función como una constante multiplicada por la variable “x”.

Luego aplicamos la regla correspondiente y obtenemos el resultado.
Ejercicio 5
Calcular la siguiente derivada utilizando reglas de derivación.
Solución
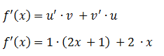
Utilizamos la regla del producto de dos funciones a las que llamamos “u” y “v”. Identificamos a la función “u” como “x” y a la función “v” como 2x + 1.

Para calcularla derivada de “u” utilizamos la regla que dice que la derivada de la variable independiente es 1.

Para calcular la derivada de “v” utilizamos la regla que nos dice que la derivada de una suma es igual a la suma de las derivadas. En este caso lo hacemos directamente, sabiendo que la derivada de 2x es 2 y la derivada de 1 es 0.

Finalmente planteamos la regla de la derivada del producto de “u” por “v”.

Aplicamos la propiedad distributiva y resolvemos la expresión.
Ejercicio 6
Calcular la siguiente derivada utilizando reglas de derivación.
Solución
Utilizamos la regla de la derivada de un cociente de funciones. Luego la primera función es un producto de una constante por “x” mientras que la segunda es una suma de dos funciones, en la que nuevamente calculamos las derivadas.
Ejercicio 7
Calcular la siguiente derivada utilizando reglas de derivación.
Solución
Aplicamos la regla de la derivada de la variable independiente elevada a una constante.
Ejercicio 8
Calcular la siguiente derivada utilizando reglas de derivación.
Solución
Aplicamos la regla de la derivada de una constante elevada a una función.
Ejercicio 9
Calcular la siguiente derivada utilizando reglas de derivación.
Solución
Aplicamos la regla de la derivada de una función seno.
Seguir a ejercicios de derivadas sucesivas
Volver a ejercicios de derivadas
Volver a home