Ejercicios resueltos de caudal
Ejercicio 1
Un tanque de 200 litros se llena en 3 minutos.
¿Cuál es el caudal del flujo que ingresa al tanque?
Solución
Planteamos la fórmula de caudal y reemplazamos por los valores dados en el ejercicio.
Ejercicio 2
Por el extremo de un caño de sección circular de 2 cm de diámetro sale agua a una velocidad de 0,5 m/s.
Determinar el caudal.
Solución
Pasamos la velocidad a una unidad más pequeña (dm/s) para facilitar las cuentas.

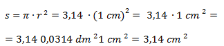
Calculamos la superficie transversal del caño. En primer lugar calculamos el radio como la mitad del diámetro, lo que nos da 1 cm.

Pasamos la superficie a dm
2

Planteamos la fórmula de caudal y reemplazamos por los valores calculados:
Seguir a ejercicios de continuidad hidrodinámica
Volver a ejercicios de hidrodinámica
Volver a home