Ejercicios de continuidad hidrodinámica
Ejercicio 1
Por el extremo de un tubo horizontal de 2 cm de diámetro ingresa agua a una velocidad de 0,2 m/s.
¿A qué velocidad saldrá el agua si el diámetro del extremo de salida es de 1 cm.
Solución
Obtenemos los radios que son de 1 cm y 0,5 cm respectivamente. Luego calculamos las superficies de entrada y salida.

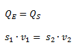
Por la ecuación de continuidad sabemos que el caudal (a · v) es constante a lo largo de todo el recorrido. Por lo tanto el caudal a la entrada debe ser igual al caudal a la salida.

Despejamos la velocidad de salida de la ecuación de continuidad.

Reemplazamos por los valores y obtenemos el resultado.
Ejercicio 2
Por el extremo de un tubo de 5 cm de diámetro ingresa agua a una velocidad de 0,3 m/s. En el extremo de salida el agua sale a una velocidad de 0,6 m/s.
¿Cuál es el diámetro del extremo de salida?
Solución
Calculamos el radio como la mitad del diámetro y nos da 2,5 cm. Luego calculamos la superficie de entrada:

Planteamos la ecuación de continuidad.

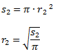
Despejamos la superficie de salida.

Reemplazamos por los valores del ejercicio

Pasamos el resultado a cm
2. El número nos queda igual ya que por ser un superficie la coma se corre de a dos lugares a la vez. Por lo tanto de metros a centímetros debemos correrla cuatro lugares, que son los mismos lugares del exponente.

Planteamos la fórmula de la superficie de una circunferencia y despejamos el radio.

Reemplazamos los valores y obtenemos el radio.

Luego el diámetro es igual al doble del radio, es decir 3,54 cm.
Seguir a electricidad
Volver a ejercicios de hidrodinámica
Volver a home