Derivadas parciales
Una función puede tener varias variables independientes. Las derivadas parciales representan la tasa de cambio de cada una de las variables, manteniendo constantes las demás.
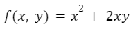
Por ejemplo, si tenemos una función f(x, y):

Otra forma de escribir las derivadas parciales es la siguiente:
Cómo calcular las derivadas parciales
Para calcular la derivada parcial de una función respecto a una variable lo que debemos hacer es derivar a la función respecto de esa variable y tratar a todas las demás variables como constantes.
Ejemplo de cálculo de derivadas parciales

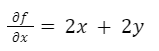
Para calcular la derivada parcial respecto de “x” tratamos a “y” como una constante.

Para calcular la derivada parcial respecto de “y” tratamos a “x” como una constante.
Seguir a derivada total
Volver a derivadas
Volver a home