Derivada total
La derivada total de una función respecto de una variable indica la tasa de cambio de la función respecto de esa variable en base a la variación de las demás variables.
Nomenclatura de derivada total

No debemos confundir la notación de derivada total con la notación de derivadas parciales.
Cómo se calcula la derivada total
La derivada total de una función respecto de una variable se calcula como la suma de las derivadas parciales multiplicadas cada una por su diferencial.
Ejemplo de cálculo de derivada total
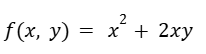
Dada la siguiente función:

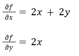
Calculamos las derivadas parciales:

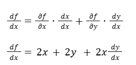
Planteamos la fórmula de derivada total:

Ahora tengamos en cuenta que dx/dx = 1 y dy/dx = 0 ya que estamos derivando respecto de “x”, entonces:
Seguir a gradiente
Volver a derivadas
Volver a home