Ley de Gauss
Tomando una superficie hipotética y cerrada, el
flujo eléctrico a través de la misma multiplicado por ε
0 es igual a la carga neta encerrada por la superficie (Q
n).

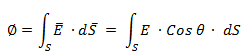
Por la definición de flujo eléctrico:

Entonces podemos enunciar también la ley de Gauss como:
Ejemplo de aplicación de la ley de Gauss
Obtener la expresión para el cálculo del campo eléctrico generado por una carga puntual q a una distancia r.
Como superficie de Gauss elegimos una esfera de radio r, que encierre a la carga q. Entonces la carga neta encerrada equivale a q.

Como el campo eléctrico generado por q es constante lo sacamos afuera de la integral. Por otra parte el ángulo entre el campo (radial y saliente de la carga y de la esfera) es colineal con el vector diferencial de superficie, por lo tanto el ángulo es cero y el coseno es uno.

La integral del diferencial de superficie de la esfera es igual a la superficie de una esfera (conocida) por lo tanto reemplazamos.

Despejamos el campo eléctrico
Seguir a densidad de carga
Volver a carga eléctrica y campo eléctrico
Volver a home