Ley de Fourier
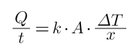
La ley de Fourier describe la conducción de calor a través de un medio estacionario, tal como una barra. Específicamente nos indica que el flujo de calor es proporcional a la conductividad térmica, al área de la barra y a la diferencia de temperatura. Además, este flujo es inversamente proporcional a la longitud de la barra.
La ley de Fourier se expresa mediante la siguiente ecuación:

Q = Calor transferido [J]
t = Tiempo [s]
k = Conductividad térmica [J / m · s · K]
A = Área [m
2]
ΔT = Variación de temperatura [°K]
x = Longitud de la barra [m]
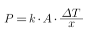
Dado que energía por unidad de tiempo es equivalente al concepto de potencia, también podemos ver a la expresión como:

P = Potencia transferida [W]
k = Conductividad térmica [J / m · s · K]
A = Área [m
2]
ΔT = Variación de temperatura [°K]
x = Longitud de la barra [m]
El flujo de calor se da desde el extremo más caliente al más frío, por lo que en algunos casos podemos encontrar un signo menos en la ecuación para indicar el sentido en un sistema de referencia dado.
Seguir a ley de enfriamiento newtoniano
Volver a calor
Volver a home