Fuerza gravitatoria
Entre dos cuerpos aparece una atracción denominada fuerza gravitatoria, que depende de sus
masas y de la separación entre ambos.
La fuerza gravitatoria disminuye con el cuadrado de la distancia, es decir que ante un aumento de la separación, el valor de la
fuerza disminuye al cuadrado.
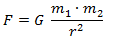
La fuerza gravitatoria se calcula como:

F = Módulo de la fuerza gravitatoria [N]
m
1, m
2 = Masas de los cuerpos [kg].
r = Distancia de separación [m].
G = Constante de gravitación universal [N·m
2/kg
2].
El valor de la constante de gravitación universal no depende de los cuerpos ni de la masa de los mismos. Tiene un valor constante que se indica a continuación:
Peso
El peso es una fuerza gravitatoria ejercida por la gravedad de la tierra (u otro planeta).
A diferencia de la masa, el peso depende de la gravedad y de la distancia a la cual se encuentre el cuerpo.
El peso es una fuerza y por la
segunda ley de Newton se calcula como masa por aceleración, siendo la misma la correspondiente a la gravedad de la tierra y por lo tanto la llamamos "g" en vez de "a".

P = Peso [N].
m = Masa [kg].
g = Aceleración de la gravedad [m/s
2].
El peso es una fuerza ejercida sobre distintos cuerpos y como toda fuerza tiene su par de reacción, que en el caso del peso, ese par se encuentra en la tierra.
Seguir a fuerza normal
Volver a fuerza y tipos de fuerzas
Volver a home