Frecuencia y período
Frecuencia
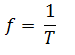
La frecuencia mide la cantidad de vueltas que se dan en un período de tiempo (normalmente un segundo). Se calcula con la siguiente fórmula:

La unidad más utilizada es el hertz que equivale a una vuelta en un segundo.
Período
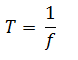
El período mide el tiempo que se tarde en dar una vuelta completa y se mide en segundos. Es la inversa de la frecuencia.

T = Período [s]
f = Frecuencia [Hz]
De esta forma, la frecuencia se puede calcular como la inversa del período.

f = Frecuencia [Hz]
T = Período [s]
Seguir a relación angular y tangencial
Volver a MCU
Volver a home