Energía almacenada en un capacitor
Un capacitor almacena energía en el
campo eléctrico que aparece entre las placas cuando se carga. La energía almacenada puede calcularse a través de la siguiente expresión:

W
c = Energía [J]
q = Carga [C]
V = Tensión entre las placas [V]
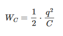
Debido a que la carga es igual al producto de la capacidad por la tensión (Q = C·V), también podemos hallar la energía almacenada en un capacitor por las siguientes expresiones:

W
c = Energía [J]
C = Capacidad [F]
V = Tensión entre las placas [V]

W
c = Energía [J]
q = Carga [C]
C = Capacidad [F]
Seguir a capacitores en serie
Volver a capacidad
Volver a home