Ejercicios resueltos de límites
Ejercicio 1
Calcular el siguiente límite.
Solución
En este caso al reemplazar “x” por –1 obtenemos un resultado numérico que corresponde al valor del límite.
Ejercicio 2
Calcular el siguiente límite.
Solución
En este caso al reemplazar “x” por –1 obtenemos un resultado numérico que corresponde al valor del límite.
Ejercicio 3
Calcular el siguiente límite.
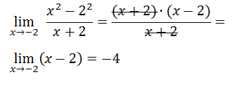
Solución
En este caso al reemplazar “x” por –2 obtenemos una indeterminación.

Para resolver esta indeterminación podemos factorizar el numerador. Si nos fijamos podemos reescribirlo como x
2-2
2, con lo cual se trata de una diferencia de cuadrados que podemos escribir como (x+2)∙(x-2). Luego simplificamos uno de los factores con el denominador.

Otra manera de resolverlo es dividir el numerador por el denominador, obteniendo también x-2.
Ejercicio 4
Calcular el siguiente límite.
Solución
Al reemplazar “x” por “1” nos queda 1/0 lo cual es ± ∞. Debemos prestar atención ya que el resultado es diferente si nos acercamos por derecha que por izquierda. Si “x” fuese por ejemplo 1,0001 el resultado sería positivo mientras que si “x” fuese 0,9999 el resultado sería negativo.
En este caso los dos límites laterales existen pero son diferentes por lo que el límite no existe.
Seguir a derivadas
Volver a límites
Volver a home