Ejercicios resueltos de fuerza eléctrica
Ejercicio 1
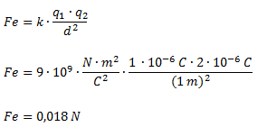
Calcular la fuerza sobre la carga q
1, sabiendo que q
1 = 1 μC, q
2 = -2 μC y d = 1 m.
Solución

La fuerza eléctrica tiene dirección hacia q
2 y es de atracción ya que las cargas son de distinto signo.
Ejercicio 2
Calcular la fuerza sobre la carga q
1, sabiendo que q
1 = -1,5 μC, q
2 = -1 μC, α=30° y x = 1 m.
Solución
Calculamos la distancia entre ambas cargas por trigonometría.

Calculamos la fuerza eléctrica.

La fuerza eléctrica tiene dirección hacia q
2 (30°) y es de repulsión ya que las cargas son de igual signo.
Seguir a capacidad
Volver a carga eléctrica y campo eléctrico
Volver a home