Ejercicios de equilibrio de la partícula
Ejercicio 1
Determinar las tensiones en las cuerdas.
Solución
Planteamos un diagrama de cuerpo libre.

Obtenemos las proyecciones de las fuerzas sobre los ejes.

Planteamos la sumatoria de fuerzas para el eje X igualada a cero y despejamos una de las tensiones (elegimos T
2 en este caso).

Planteamos la sumatoria de fuerzas para el eje Y igualada a cero.

Reemplazamos la tensión calculada anteriormente (T
2) y obtenemos el valor de la otra tensión (T
1).

Con el valor de T
1 obtenemos T
2.
Ejercicio 2
Hallar las tensiones en las cuerdas correspondientes al siguiente diagrama.
Solución
Planteamos un diagrama de cuerpo libre.

Descomponemos las fuerzas en los ejes X e Y.

Calculamos el peso. Consideramos solo el módulo ya que el signo lo obtenemos luego al hacer la sumatoria de fuerzas en base al diagrama.

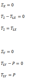
Planteamos la sumatoria de fuerzas por cada eje igualada a cero.

Reemplazamos el peso:

Obtenemos T
1X con la función tangente.

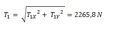
Calculamos T
1 por medio del teorema de Pitágoras.

Ya teníamos la expresión para calcular T
2 por lo que obtenemos su valor.
Seguir a estática del cuerpo rígido
Volver a estática de la partícula
Volver a home