Ejercicios resueltos de circuitos RL
En el siguiente circuito el interruptor se cierra en el instante t=0

Calcular los siguientes valores:
- La constante de tiempo
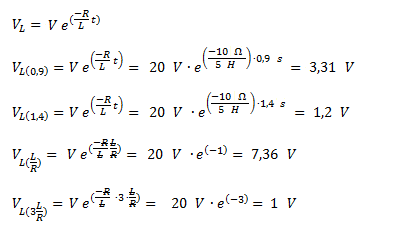
- La tensión en el inductor para t1 = 0,9 s, t2 = 1,4 s, t3 =L/R, t4 = 3L/R
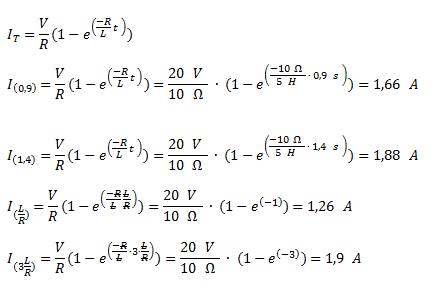
- La corriente por el circuito para t1 = 0,9 s, t2 = 1,4 s, t3 =L/R, t4 = 3L/R
- La tensión en la resistencia para t1 = 0,9 s, t2 = 1,4 s, t3 =L/R, t4 = 3L/R
Solución
La constante de tiempo la calculamos como el cociente de L/R.

Calculamos las tensiones en el inductor aplicando la fórmula de tensión en función del tiempo.

Calculamos las corrientes.

La tensión en la resistencia la podemos calcular como la tensión en la fuente menos la tensión en el inductor para cada instante.
Seguir a corriente alterna
Volver a circuitos RL en corriente continua
Volver a home