Ejercicios resueltos de choque
Ejercicio 1
Los siguientes cuerpos chocan de forma elástica.
Calcular la velocidad final V
2.
Solución
Como nos dicen que se trata de un choque elástico, sabemos que el coeficiente de restitución es igual a 1. Por lo tanto planteamos la fórmula del coeficiente de restitución y despejamos la velocidad del segundo cuerpo.
Ejercicio 2
Un cuerpo de 2 kg de masa se dirige en línea recta a 5 m/s hacia otro cuerpo de 3 kg que se encuentra detenido. Luego del choque ambos cuerpos quedan pegados.
Calcular la velocidad final de los mismos.
Solución
Planteamos la fórmula de conservación de la cantidad de movimiento.

Como sabemos que ambos cuerpos quedan pegados, reemplazamos las dos velocidades finales por una sola (V
f).

Despejamos la velocidad final del sistema y reemplazamos por los valores del ejercicio.
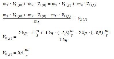
Ejercicio 3
Determinar la velocidad final de m
2 y el tipo de choque.
Solución
Planteamos la fórmula de conservación de la cantidad de movimiento y despejamos la velocidad final del segundo cuerpo.

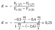
Para determinar el tipo de choque calculamos el coeficiente de restitución.

Como K es un valor mayor que cero y menor que uno, resulta un choque inelástico (o semielástico).
Seguir a ejercicios de trabajo y energía
Volver a choque
Volver a home