Ecuaciones diferenciales con valor inicial
Hemos aprendido que existen varias
funciones que pueden ser solución de una
ecuación diferencial debido a que las mismas contienen constantes que actúan como parámetros. Sin embargo, si se establecen ciertas condiciones como por ejemplo el hecho de la función devuelva un valor específico para un punto dado, puede restringirse la solución de tal forma que sea única.
Cómo encontrar la solución cuando hay un valor inicial
Para resolver una ecuación diferencial con valor inicial los pasos son los siguientes:
- Encontrar la solución general
- Reemplazar las variables por las condiciones
- Despejar las constantes de integración y reescribir la solución
Ejemplo
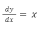
Tenemos la siguiente ecuación diferencial:

La solución a esta ecuación diferencial es la siguiente:

Como podemos observar, con diferentes valores de “C” encontramos distintas funciones que son solución a la ecuación diferencial.
Sin embargo,además de la ecuación diferencial podríamos tener una condición para la función solución. Por ejemplo, que la función pase por el punto (0, 1).

Aplicando la condición anterior a la solución obtenemos la siguiente expresión:

Despejamos “C”:

La solución particular nos queda:
Seguir a ejercicios de ecuaciones diferenciales
Volver a ecuaciones diferenciales
Volver a home