Constantes de las oscilaciones amortiguadas
Constante de amortiguamiento
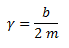
Al cociente entre el coeficiente b y el doble de la
masa se la denomina constante de amortiguamiento y se la representa por la letra γ.
No debemos confundir este valor con el coeficiente de amortiguamiento debido a la viscosidad (representado por la letra b). Mientras b se refiere solo a la intensidad de la
fuerza de amortiguamiento, γ es un indicador del funcionamiento del oscilador.

γ = Constante de amortiguamiento del oscilador [1/s]
b = Coeficiente de amortiguamiento debido a la viscosidad [kg/s]
m = Masa [kg]
Constante de tiempo
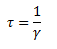
La constante de tiempo se calcula como la inversa de la constante de amortiguamiento y por lo tanto se mide en segundos. Se representa por la letra τ.

τ = Constante de tiempo [s]
γ = Coeficiente de amortiguamiento del oscilador [1/s]
Seguir a cinemática de las oscilaciones amortiguadas
Volver a oscilaciones amortiguadas
Volver a home