Aceleración en MRUV
El MRUV es un movimiento en el cual los móviles se desplazan en línea recta a una
velocidad que varía de manera uniforme a lo largo del tiempo. Esta velocidad puede aumentar o disminuir.
La tasa de variación de la velocidad se denomina aceleración. Su valor puede ser positivo o negativo. La aceleración es una
magnitud vectorial con lo cual, además de un módulo, tiene una dirección y un sentido.
Un signo negativo en la aceleración no necesariamente significa que la rapidez esté disminuyendo. Puede estar aumentando con el móvil desplazándose en el sentido contrario al
sistema de referencia fijado.
Si la velocidad viene disminuyendo y se hace cero sin que cambie la aceleración, el móvil se detendrá y comenzará a moverse en sentido contrario, aumentando nuevamente su rapidez. El vector que sí cambia de signo es el de la velocidad cuando comienza a moverse para el otro lado, pero la aceleración en este caso será la misma.
Signo de la aceleración
Si el móvil tiene velocidad de signo positivo y aumentando, la aceleración es positiva.
Si el móvil tiene velocidad de signo positivo y disminuyendo, la aceleración es negativa. Es decir que disminuye la velocidad hasta que se haga cero. Luego, con esta misma aceleración negativa, el móvil comenzará aumentar de velocidad (en módulo) pero con signo negativo.
Si el móvil tiene velocidad negativa y aumentando, la aceleración es negativa. La velocidad aumenta pero con en el signo contrario al sistema. Si el móvil se estaba moviendo antes de comenzar a contar el tiempo, en algún momento la velocidad podría haber sido cero (antes de ser negativa) y antes de eso positiva en disminución.
Si el móvil tiene velocidad negativa y disminuyendo, la aceleración es positiva. El móvil en algún momento se detendrá y comenzará a aumentar la velocidad en el sentido positivo (primer caso).
Valor de la aceleración
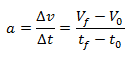
El valor de la aceleración se calcula como la variación de la velocidad en un tiempo determinado.

a = Aceleración [m/s
2]
Δv = Variación de velocidad [m/s]
Δt = Variación de tiempo [s]
V
f = Velocidad final [m/s]
V
0 = Velocidad inicial [m/s]
t
f = Tiempo final [s]
t
0 = Tiempo inicial [s]
Unidad de aceleración
La aceleración se mide en metros sobre segundos al cuadrado (m/s
2).
Gráficos de ejemplo
Gráfico de la aceleración respecto del tiempo en el movimiento rectilíneo uniformemente variado.
Seguir a velocidad en MRUV
Volver a MRUV
Volver a home